Skip to main content
FAQs
Complain
Problems
Search form
Search
X
ito.likhu.mun@gmail.com, likhumunokhaldhunga.gov.np
लिखु गाउँपालिका, गाउँ कार्यपालिकाको कार्यालय ओखलढुङ्गा, कोशी प्रदेश, नेपाल
"लिखु गाउँपालिकाको दृष्टि: सुशासन मार्फत समृद्धि !"
Search form
Search
गृहपृष्ठ
परिचय
संक्षिप्त परिचय
जन प्रतिनिधि
कर्मचारी (कार्यपालिका तर्फ)
कर्मचारी (वडा तर्फ)
कर्मचारी (स्वास्थ्य तर्फ)
वस्तुगत विवरण
संगठनात्मक स्वरुप
फोटो ग्यालरी
श्रोत नक्सा
वडा कार्यालयहरु
वडा नं. १
वडा नं. २
वडा नं. ३
वडा नं. ४
वडा नं. ५
वडा नं. ६
वडा नं. ७
वडा नं. ८
वडा नं. ९
कार्यक्रम तथा परियोजना
बजेट तथा कार्यक्रम
आय व्यय विवरण
विद्युतीय शुसासन सेवा
घटना दर्ता
सामाजिक सुरक्षा
नागरिक वडापत्र
नमुना फारमहरु
सूचना तथा जानकारी
सूचना तथा समाचार
सार्वजनिक खरिद/बोलपत्र सूचना
कर तथा शुल्कहरु
निर्णय
गाउँ सभा निर्णय
कार्यपालिका निर्णय
समिति निर्णय
प्रतिवेदन
कार्यक्रम प्रगति प्रतिवेदन
विविध प्रतिवेदन
चौमासिक प्रगति प्रतिवेदन
वार्षिक प्रगति प्रतिवेदन
लेखा परीक्षण प्रतिवेदन
मासिक प्रगति प्रतिवेदन
प्रकाशन
स्थानीय राजपत्र
ऐन
नियमावली
नीति
गाउँपालिका दररेट
स्वत प्रकाशन
पाठ्यक्रम
स्व-मूल्यांकन सन्दर्भ सामाग्रि
क्यालेन्डर
साना सिंचाई कार्यक्रम
कृषि बजार कोशी प्रदेश
समाचार
विभिन्न कृषि तथा पशुपन्छी कार्यक्रमहरुको प्रस्ताव आह्वान सम्बन्धी सूचना !!!
सातौं राष्ट्रपति रनिङ शिल्ड प्रतियोगिता सञ्चालनको लागि प्रस्ताव पेश गर्ने सम्बन्धी सूचना !!!
व्यक्तिगत घटना दर्ता संशोधन सम्बन्धी सूचना !!!!
सेवा करारमा कर्मचारी पदपूर्ति गर्ने सम्बन्धी सूचना !!!
विषय विज्ञ सूचिकृतका लागि दरखास्त आव्हान गरिएको सूचना !!!
कार्यक्रमको बजेट अंक पुनःसच्याइएको सम्बन्धमा ।
लिखु गाउँपालिका कार्यक्षेत्र भएका सहकारी संस्थाहरुलाई विवरण पेस गर्ने तथा साधारण सभा सम्पन्न गरी प्रतिवेदन पेस गर्ने सम्बन्धी अत्यन्त जरुरी सूचना !!!
सामाजिक सुरक्षा भत्ता नविकरण छुट सम्बन्धी सूचना!!!
खोपकर्ता करारमा पदपुर्ती गर्ने सम्बन्धी सूचना !!!
सामाजिक सुरक्षा भत्ता बैङ्क खाता (KYC Update) अद्याबधिक गर्ने सम्बन्धी सूचना !!!
You are here
Home
» सामाजिक सुरक्षा भत्ता नविकरण छुट सम्बन्धी सूचना!!!
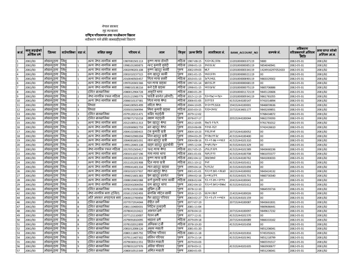
सामाजिक सुरक्षा भत्ता नविकरण छुट सम्बन्धी सूचना!!!
Submitted on:
Thu, 09/18/2025 - 13:25
प्रकार:
सूचना तथा समाचार
आर्थिक वर्ष:
८२/८३
//